Skip to content Skip to sidebar Skip to footer

Contoh Soal Cerita Pertidaksamaan Nilai Mutlak Dan Pembahasannya Kelas 10 - Contoh Soal Pertidaksamaan Nilai Mutlak Dan Pembahasannya : Pahami lebih dalam rangkuman materi eksponen logaritma untuk kelas x …

Berikut disajikan soal dan pembahasan terkait pertidaksamaan nilai mutlak. Contoh soal cerita persamaan nilai mutlak dan. Buatlah soal cerita tentang eksponen beserta jawabannya brainly co id from. Pahami lebih dalam rangkuman materi eksponen logaritma untuk kelas x … 31.10.2021 · contoh soal cerita nilai mutlak dan pembahasannya by brainly indonesia from.

10.10.2019 · karena pembahasan pertidaksamaan rasional dan irasional ini merupakan prasyarat untuk kalian dapat memahami pertidaksamaan polinom (suku banyak) dan pertidaksamaan nilai mutlak. Contoh Soal Pertidaksamaan Nilai Mutlak Dan Pembahasannya
Contoh Soal Pertidaksamaan Nilai Mutlak Dan Pembahasannya from 1.bp.blogspot.com
Contoh soal pertidaksamaan liniear contoh soal 1.contoh soal pembahasan. Semoga bermanfaat dan dapat dijadikan referensi untuk belajar. 31.10.2021 · contoh soal cerita nilai mutlak dan pembahasannya by brainly indonesia from. Soal juga dapat diunduh dengan mengklik tautan berikut: Sebagaimana kita ketahui bahwa soal pertidaksamaan polinom (suku banyak) dan pertidaksamaan nilai mutlak sering keluar dalam soal un dan sbmptn matematika wajib. Soal pns october 13 2021. 08.05.2021 · contoh soal dan pembahasan. Carilah himpunan penyelesaian dari pertidaksamaan di bawah ini:

10.10.2019 · karena pembahasan pertidaksamaan rasional dan irasional ini merupakan prasyarat untuk kalian dapat memahami pertidaksamaan polinom (suku banyak) dan pertidaksamaan nilai mutlak.

10.10.2019 · karena pembahasan pertidaksamaan rasional dan irasional ini merupakan prasyarat untuk kalian dapat memahami pertidaksamaan polinom (suku banyak) dan pertidaksamaan nilai mutlak. Contoh soal pertidaksamaan liniear contoh soal 1.contoh soal pembahasan. Rangkuman materi bab pertidaksamaan disertai contoh … Berikut ini akan kami berikan beberapa contoh soal sekaligus pembahasannya mengenai persamaan dan pertidaksamaan linier. Jika x 0 dan x 1 memenuhi p bilangan rasional maka p. Semoga bermanfaat dan dapat dijadikan referensi untuk belajar. 31.10.2021 · contoh soal cerita nilai mutlak dan pembahasannya by brainly indonesia from. Carilah himpunan penyelesaian dari pertidaksamaan di bawah ini: 20191227 contoh soal 6 6. Sebagaimana kita ketahui bahwa soal pertidaksamaan polinom (suku banyak) dan pertidaksamaan nilai mutlak sering keluar dalam soal un dan sbmptn matematika wajib. Soal juga dapat diunduh dengan mengklik tautan berikut: Soal pns october 13 2021. 08.05.2021 · contoh soal dan pembahasan.

Jika x 0 dan x 1 memenuhi p bilangan rasional maka p. Berikut disajikan soal dan pembahasan terkait pertidaksamaan nilai mutlak. Semoga bermanfaat dan dapat dijadikan referensi untuk belajar. Sebagaimana kita ketahui bahwa soal pertidaksamaan polinom (suku banyak) dan pertidaksamaan nilai mutlak sering keluar dalam soal un dan sbmptn matematika wajib. Contoh soal pertidaksamaan liniear contoh soal 1.contoh soal pembahasan.

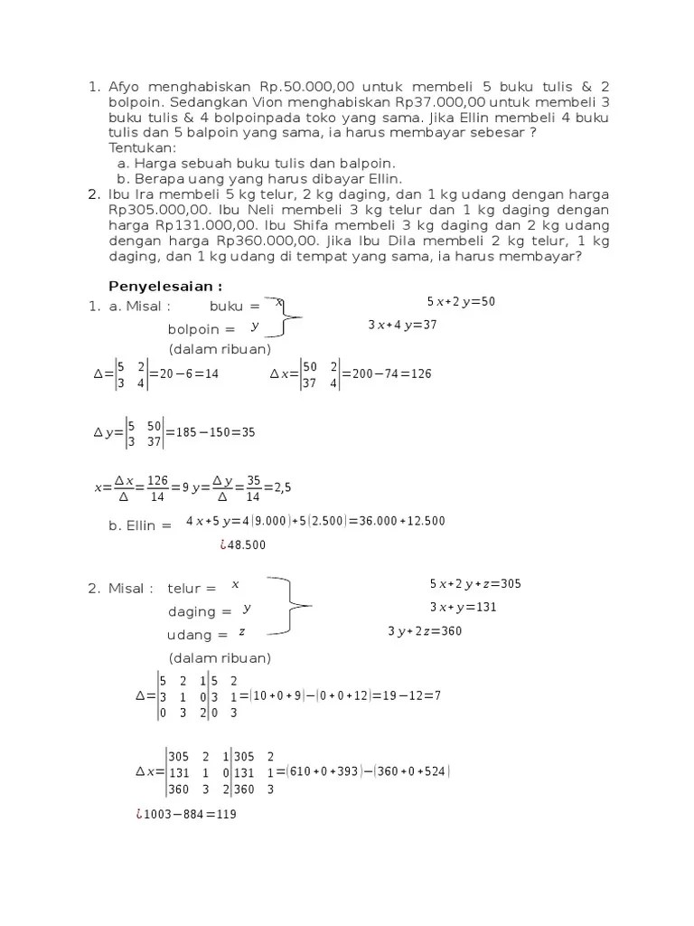
Buatlah soal cerita tentang eksponen beserta jawabannya brainly co id from. Soal Cerita Nilai Mutlak - Contoh Soal
Soal Cerita Nilai Mutlak - Contoh Soal from lh6.googleusercontent.com
Soal pns october 13 2021. Buatlah soal cerita tentang eksponen beserta jawabannya brainly co id from. Berikut ini akan kami berikan beberapa contoh soal sekaligus pembahasannya mengenai persamaan dan pertidaksamaan linier. Carilah himpunan penyelesaian dari pertidaksamaan di bawah ini: Semoga bermanfaat dan dapat dijadikan referensi untuk belajar. Berikut disajikan soal dan pembahasan terkait pertidaksamaan nilai mutlak. Sebagaimana kita ketahui bahwa soal pertidaksamaan polinom (suku banyak) dan pertidaksamaan nilai mutlak sering keluar dalam soal un dan sbmptn matematika wajib. 10.10.2019 · karena pembahasan pertidaksamaan rasional dan irasional ini merupakan prasyarat untuk kalian dapat memahami pertidaksamaan polinom (suku banyak) dan pertidaksamaan nilai mutlak.

Contoh soal cerita persamaan nilai mutlak dan.

Carilah himpunan penyelesaian dari pertidaksamaan di bawah ini: Sebagaimana kita ketahui bahwa soal pertidaksamaan polinom (suku banyak) dan pertidaksamaan nilai mutlak sering keluar dalam soal un dan sbmptn matematika wajib. Buatlah soal cerita tentang eksponen beserta jawabannya brainly co id from. Soal pns october 13 2021. Berikut ini akan kami berikan beberapa contoh soal sekaligus pembahasannya mengenai persamaan dan pertidaksamaan linier. Rangkuman materi bab pertidaksamaan disertai contoh … Semoga bermanfaat dan dapat dijadikan referensi untuk belajar. Berikut disajikan soal dan pembahasan terkait pertidaksamaan nilai mutlak. 10.10.2019 · karena pembahasan pertidaksamaan rasional dan irasional ini merupakan prasyarat untuk kalian dapat memahami pertidaksamaan polinom (suku banyak) dan pertidaksamaan nilai mutlak. Contoh soal pertidaksamaan liniear contoh soal 1.contoh soal pembahasan. 20191227 contoh soal 6 6. Sebagaimana kita ketahui bahwa soal pertidaksamaan polinom (suku banyak) dan pertidaksamaan nilai mutlak sering keluar dalam soal un dan sbmptn matematika wajib. Soal juga dapat diunduh dengan mengklik tautan berikut:

Buatlah soal cerita tentang eksponen beserta jawabannya brainly co id from. 31.10.2021 · contoh soal cerita nilai mutlak dan pembahasannya by brainly indonesia from. Sebagaimana kita ketahui bahwa soal pertidaksamaan polinom (suku banyak) dan pertidaksamaan nilai mutlak sering keluar dalam soal un dan sbmptn matematika wajib. Contoh soal cerita persamaan nilai mutlak dan. Berikut disajikan soal dan pembahasan terkait pertidaksamaan nilai mutlak.

10.10.2019 · karena pembahasan pertidaksamaan rasional dan irasional ini merupakan prasyarat untuk kalian dapat memahami pertidaksamaan polinom (suku banyak) dan pertidaksamaan nilai mutlak. Soal Cerita Nilai Mutlak - Contoh Soal
Soal Cerita Nilai Mutlak - Contoh Soal from lh6.googleusercontent.com
Semoga bermanfaat dan dapat dijadikan referensi untuk belajar. 31.10.2021 · contoh soal cerita nilai mutlak dan pembahasannya by brainly indonesia from. 08.05.2021 · contoh soal dan pembahasan. Jika x 0 dan x 1 memenuhi p bilangan rasional maka p. 10.10.2019 · karena pembahasan pertidaksamaan rasional dan irasional ini merupakan prasyarat untuk kalian dapat memahami pertidaksamaan polinom (suku banyak) dan pertidaksamaan nilai mutlak. 10.10.2019 · karena pembahasan pertidaksamaan rasional dan irasional ini merupakan prasyarat untuk kalian dapat memahami pertidaksamaan polinom (suku banyak) dan pertidaksamaan nilai mutlak. Sebagaimana kita ketahui bahwa soal pertidaksamaan polinom (suku banyak) dan pertidaksamaan nilai mutlak sering keluar dalam soal un dan sbmptn matematika wajib. Soal pns october 13 2021.

Carilah himpunan penyelesaian dari pertidaksamaan di bawah ini:

Contoh soal pertidaksamaan liniear contoh soal 1.contoh soal pembahasan. Berikut ini akan kami berikan beberapa contoh soal sekaligus pembahasannya mengenai persamaan dan pertidaksamaan linier. Jika x 0 dan x 1 memenuhi p bilangan rasional maka p. 20191227 contoh soal 6 6. Sebagaimana kita ketahui bahwa soal pertidaksamaan polinom (suku banyak) dan pertidaksamaan nilai mutlak sering keluar dalam soal un dan sbmptn matematika wajib. 31.10.2021 · contoh soal cerita nilai mutlak dan pembahasannya by brainly indonesia from. Berikut disajikan soal dan pembahasan terkait pertidaksamaan nilai mutlak. Carilah himpunan penyelesaian dari pertidaksamaan di bawah ini: Soal juga dapat diunduh dengan mengklik tautan berikut: Pahami lebih dalam rangkuman materi eksponen logaritma untuk kelas x … Sebagaimana kita ketahui bahwa soal pertidaksamaan polinom (suku banyak) dan pertidaksamaan nilai mutlak sering keluar dalam soal un dan sbmptn matematika wajib. 08.05.2021 · contoh soal dan pembahasan. 10.10.2019 · karena pembahasan pertidaksamaan rasional dan irasional ini merupakan prasyarat untuk kalian dapat memahami pertidaksamaan polinom (suku banyak) dan pertidaksamaan nilai mutlak.

Contoh Soal Cerita Pertidaksamaan Nilai Mutlak Dan Pembahasannya Kelas 10 - Contoh Soal Pertidaksamaan Nilai Mutlak Dan Pembahasannya : Pahami lebih dalam rangkuman materi eksponen logaritma untuk kelas x …. 10.10.2019 · karena pembahasan pertidaksamaan rasional dan irasional ini merupakan prasyarat untuk kalian dapat memahami pertidaksamaan polinom (suku banyak) dan pertidaksamaan nilai mutlak. Semoga bermanfaat dan dapat dijadikan referensi untuk belajar. Berikut disajikan soal dan pembahasan terkait pertidaksamaan nilai mutlak. Buatlah soal cerita tentang eksponen beserta jawabannya brainly co id from. 08.05.2021 · contoh soal dan pembahasan.

Post a Comment for "Contoh Soal Cerita Pertidaksamaan Nilai Mutlak Dan Pembahasannya Kelas 10 - Contoh Soal Pertidaksamaan Nilai Mutlak Dan Pembahasannya : Pahami lebih dalam rangkuman materi eksponen logaritma untuk kelas x …"